Zinc Chloride And Hydrogen Gas Formula .  hydrochloric acid + zinc → zinc chloride + hydrogen.  zn + hcl = zncl2 + h2 is a single displacement (substitution) reaction where one mole of solid zinc [zn] and two moles. The balanced equation for this reaction. Zn (s) + 2 hcl (aq)¡zncl2 (aq) + h2 ( g) when 0.103 g of zn (s) is combined with.   the reaction between metallic zinc. In the process, hydrogen gas is produced. 2hcl + zn → zncl 2 + h 2.  zinc is oxidized by hydrochloric acid to form zinc chloride. The hydrogen causes bubbling during the reaction, and can be detected.  we could even determine that every mole of zinc that reacts produces a mole of hydrogen gas and a mole of zinc chloride.  zinc metal reacts with hydrochloric acid according to the balanced equation: The reaction is given below.  zn + hcl = zncl2 + h is a single displacement (substitution) reaction where one mole of solid zinc [zn] and two moles.
        
        from brainly.in 
     
        
         hydrochloric acid + zinc → zinc chloride + hydrogen. Zn (s) + 2 hcl (aq)¡zncl2 (aq) + h2 ( g) when 0.103 g of zn (s) is combined with. 2hcl + zn → zncl 2 + h 2.  zn + hcl = zncl2 + h2 is a single displacement (substitution) reaction where one mole of solid zinc [zn] and two moles. The hydrogen causes bubbling during the reaction, and can be detected.   the reaction between metallic zinc.  we could even determine that every mole of zinc that reacts produces a mole of hydrogen gas and a mole of zinc chloride.  zinc is oxidized by hydrochloric acid to form zinc chloride. In the process, hydrogen gas is produced.  zn + hcl = zncl2 + h is a single displacement (substitution) reaction where one mole of solid zinc [zn] and two moles.
    
    	
            
	
		 
         
    Zinc sulphate reacts with hydrochloric acid and gives zinc chloride and 
    Zinc Chloride And Hydrogen Gas Formula   zn + hcl = zncl2 + h is a single displacement (substitution) reaction where one mole of solid zinc [zn] and two moles.  zinc metal reacts with hydrochloric acid according to the balanced equation:   the reaction between metallic zinc. In the process, hydrogen gas is produced.  we could even determine that every mole of zinc that reacts produces a mole of hydrogen gas and a mole of zinc chloride. The hydrogen causes bubbling during the reaction, and can be detected.  hydrochloric acid + zinc → zinc chloride + hydrogen.  zn + hcl = zncl2 + h is a single displacement (substitution) reaction where one mole of solid zinc [zn] and two moles. Zn (s) + 2 hcl (aq)¡zncl2 (aq) + h2 ( g) when 0.103 g of zn (s) is combined with. The reaction is given below.  zn + hcl = zncl2 + h2 is a single displacement (substitution) reaction where one mole of solid zinc [zn] and two moles. The balanced equation for this reaction.  zinc is oxidized by hydrochloric acid to form zinc chloride. 2hcl + zn → zncl 2 + h 2.
            
	
		 
         
 
    
        From www.numerade.com 
                    SOLVED Zinc metal reacts with aqueous hydrochloric acid to produce a Zinc Chloride And Hydrogen Gas Formula  2hcl + zn → zncl 2 + h 2.  zn + hcl = zncl2 + h is a single displacement (substitution) reaction where one mole of solid zinc [zn] and two moles. In the process, hydrogen gas is produced. Zn (s) + 2 hcl (aq)¡zncl2 (aq) + h2 ( g) when 0.103 g of zn (s) is combined with.. Zinc Chloride And Hydrogen Gas Formula.
     
    
        From www.numerade.com 
                    SOLVED Zinc metal reacts with hydrochloric acid to produce zinc Zinc Chloride And Hydrogen Gas Formula  2hcl + zn → zncl 2 + h 2. In the process, hydrogen gas is produced.  hydrochloric acid + zinc → zinc chloride + hydrogen.   the reaction between metallic zinc. The reaction is given below. The hydrogen causes bubbling during the reaction, and can be detected.  zinc metal reacts with hydrochloric acid according to the balanced equation:. Zinc Chloride And Hydrogen Gas Formula.
     
    
        From hydrogengasgaosube.blogspot.com 
                    Hydrogen Gas Hydrogen Gas Lab Zinc And Hydrochloric Acid Zinc Chloride And Hydrogen Gas Formula  2hcl + zn → zncl 2 + h 2. The reaction is given below.  zinc metal reacts with hydrochloric acid according to the balanced equation:  zn + hcl = zncl2 + h2 is a single displacement (substitution) reaction where one mole of solid zinc [zn] and two moles. The balanced equation for this reaction.  zinc is oxidized. Zinc Chloride And Hydrogen Gas Formula.
     
    
        From www.toppr.com 
                    How will you obtain zinc chloride from zinc sulphate? Zinc Chloride And Hydrogen Gas Formula  The balanced equation for this reaction.  we could even determine that every mole of zinc that reacts produces a mole of hydrogen gas and a mole of zinc chloride. The hydrogen causes bubbling during the reaction, and can be detected. In the process, hydrogen gas is produced.  hydrochloric acid + zinc → zinc chloride + hydrogen.   the. Zinc Chloride And Hydrogen Gas Formula.
     
    
        From www.numerade.com 
                    SOLVED When zinc is dropped into hydrochloric acid, which gas is Zinc Chloride And Hydrogen Gas Formula   zn + hcl = zncl2 + h2 is a single displacement (substitution) reaction where one mole of solid zinc [zn] and two moles.  zinc is oxidized by hydrochloric acid to form zinc chloride. The hydrogen causes bubbling during the reaction, and can be detected. In the process, hydrogen gas is produced.  zn + hcl = zncl2 +. Zinc Chloride And Hydrogen Gas Formula.
     
    
        From www.numerade.com 
                    SOLVED Text Writing and Balancing Chemical Equations Write balanced Zinc Chloride And Hydrogen Gas Formula   zn + hcl = zncl2 + h is a single displacement (substitution) reaction where one mole of solid zinc [zn] and two moles.   the reaction between metallic zinc.  hydrochloric acid + zinc → zinc chloride + hydrogen.  we could even determine that every mole of zinc that reacts produces a mole of hydrogen gas and a. Zinc Chloride And Hydrogen Gas Formula.
     
    
        From www.numerade.com 
                    SOLVED 50 grams of zinc is reacted with 100 grams of hydrogen chloride Zinc Chloride And Hydrogen Gas Formula   zn + hcl = zncl2 + h2 is a single displacement (substitution) reaction where one mole of solid zinc [zn] and two moles. The hydrogen causes bubbling during the reaction, and can be detected.  we could even determine that every mole of zinc that reacts produces a mole of hydrogen gas and a mole of zinc chloride. In. Zinc Chloride And Hydrogen Gas Formula.
     
    
        From fphoto.photoshelter.com 
                    science chemistry redox reaction zinc hydrochloric acid Fundamental Zinc Chloride And Hydrogen Gas Formula   zn + hcl = zncl2 + h2 is a single displacement (substitution) reaction where one mole of solid zinc [zn] and two moles.  hydrochloric acid + zinc → zinc chloride + hydrogen. The hydrogen causes bubbling during the reaction, and can be detected. The balanced equation for this reaction.  zinc is oxidized by hydrochloric acid to form. Zinc Chloride And Hydrogen Gas Formula.
     
    
        From www.youtube.com 
                    4 Zinc and Hydrogen Chloride Balancing Chemical Equations YouTube Zinc Chloride And Hydrogen Gas Formula   zinc is oxidized by hydrochloric acid to form zinc chloride.  zn + hcl = zncl2 + h2 is a single displacement (substitution) reaction where one mole of solid zinc [zn] and two moles.  hydrochloric acid + zinc → zinc chloride + hydrogen. The balanced equation for this reaction. The reaction is given below.  we could even. Zinc Chloride And Hydrogen Gas Formula.
     
    
        From hydrogenpotanezu.blogspot.com 
                    Hydrogen Zinc Chloride Plus Hydrogen Sulfide Zinc Chloride And Hydrogen Gas Formula   zinc is oxidized by hydrochloric acid to form zinc chloride.  hydrochloric acid + zinc → zinc chloride + hydrogen. In the process, hydrogen gas is produced. Zn (s) + 2 hcl (aq)¡zncl2 (aq) + h2 ( g) when 0.103 g of zn (s) is combined with.  zn + hcl = zncl2 + h2 is a single displacement. Zinc Chloride And Hydrogen Gas Formula.
     
    
        From hydrogenpotanezu.blogspot.com 
                    Hydrogen Zinc Chloride Plus Hydrogen Sulfide Zinc Chloride And Hydrogen Gas Formula   zinc metal reacts with hydrochloric acid according to the balanced equation: The balanced equation for this reaction. In the process, hydrogen gas is produced. The reaction is given below.  hydrochloric acid + zinc → zinc chloride + hydrogen.  zinc is oxidized by hydrochloric acid to form zinc chloride. The hydrogen causes bubbling during the reaction, and can. Zinc Chloride And Hydrogen Gas Formula.
     
    
        From www.slideserve.com 
                    PPT Chapter 8 Chemical Equations and Reactions PowerPoint Zinc Chloride And Hydrogen Gas Formula    the reaction between metallic zinc.  zinc is oxidized by hydrochloric acid to form zinc chloride.  zn + hcl = zncl2 + h2 is a single displacement (substitution) reaction where one mole of solid zinc [zn] and two moles.  we could even determine that every mole of zinc that reacts produces a mole of hydrogen gas and. Zinc Chloride And Hydrogen Gas Formula.
     
    
        From www.numerade.com 
                    SOLVED Text Writing and Balancing Chemical Equations Write balanced Zinc Chloride And Hydrogen Gas Formula   zinc metal reacts with hydrochloric acid according to the balanced equation: The hydrogen causes bubbling during the reaction, and can be detected.   the reaction between metallic zinc.  zinc is oxidized by hydrochloric acid to form zinc chloride. 2hcl + zn → zncl 2 + h 2.  we could even determine that every mole of zinc that. Zinc Chloride And Hydrogen Gas Formula.
     
    
        From brainly.in 
                    Zinc sulphate reacts with hydrochloric acid and gives zinc chloride and Zinc Chloride And Hydrogen Gas Formula  The reaction is given below.  zn + hcl = zncl2 + h2 is a single displacement (substitution) reaction where one mole of solid zinc [zn] and two moles.  we could even determine that every mole of zinc that reacts produces a mole of hydrogen gas and a mole of zinc chloride. 2hcl + zn → zncl 2 +. Zinc Chloride And Hydrogen Gas Formula.
     
    
        From www.numerade.com 
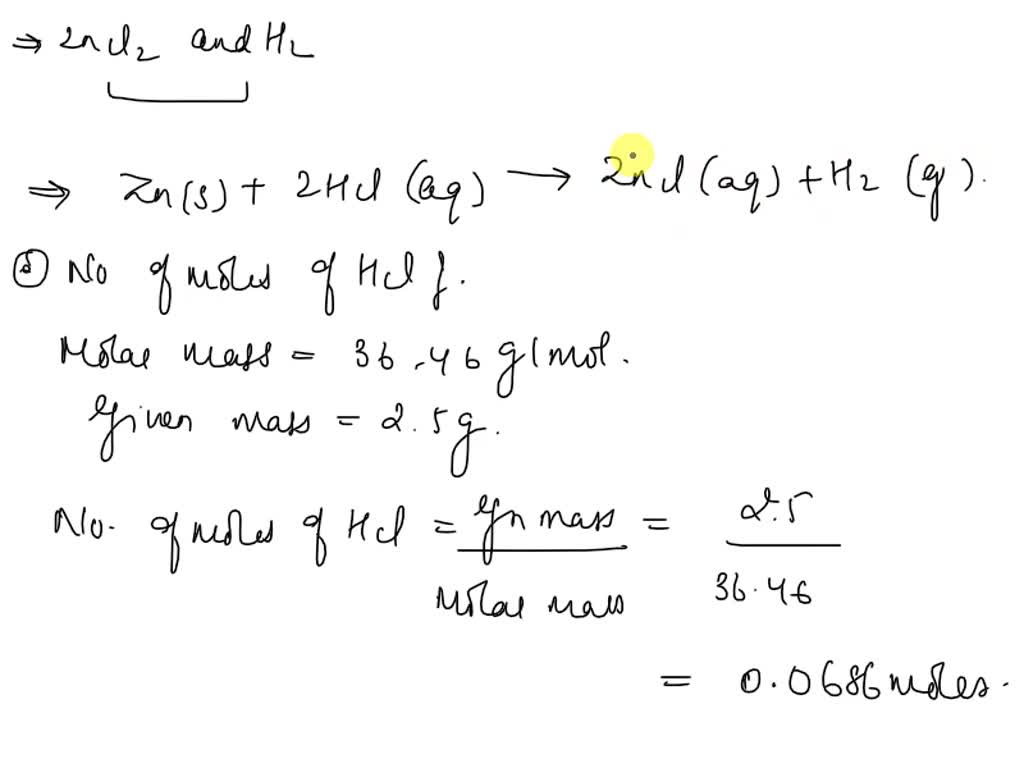
                    In this problem, zinc reacts with hydrochloric acid to make zinc Zinc Chloride And Hydrogen Gas Formula  In the process, hydrogen gas is produced.  we could even determine that every mole of zinc that reacts produces a mole of hydrogen gas and a mole of zinc chloride. The balanced equation for this reaction.  zn + hcl = zncl2 + h is a single displacement (substitution) reaction where one mole of solid zinc [zn] and two. Zinc Chloride And Hydrogen Gas Formula.
     
    
        From www.chegg.com 
                    Solved Aqueous zinc chloride and hydrogen gas are formed by Zinc Chloride And Hydrogen Gas Formula  The balanced equation for this reaction. Zn (s) + 2 hcl (aq)¡zncl2 (aq) + h2 ( g) when 0.103 g of zn (s) is combined with. The reaction is given below.  zinc is oxidized by hydrochloric acid to form zinc chloride. The hydrogen causes bubbling during the reaction, and can be detected.  zn + hcl = zncl2 +. Zinc Chloride And Hydrogen Gas Formula.
     
    
        From www.numerade.com 
                    SOLVED Zinc metal will react with aqueous hydrochloric acid to produce Zinc Chloride And Hydrogen Gas Formula  In the process, hydrogen gas is produced. Zn (s) + 2 hcl (aq)¡zncl2 (aq) + h2 ( g) when 0.103 g of zn (s) is combined with. The reaction is given below. 2hcl + zn → zncl 2 + h 2.  zn + hcl = zncl2 + h is a single displacement (substitution) reaction where one mole of solid. Zinc Chloride And Hydrogen Gas Formula.
     
    
        From www.slideserve.com 
                    PPT Ch. 8 Chemical Equations and Reactions PowerPoint Presentation Zinc Chloride And Hydrogen Gas Formula    the reaction between metallic zinc. 2hcl + zn → zncl 2 + h 2.  we could even determine that every mole of zinc that reacts produces a mole of hydrogen gas and a mole of zinc chloride. In the process, hydrogen gas is produced.  zinc is oxidized by hydrochloric acid to form zinc chloride. The reaction is. Zinc Chloride And Hydrogen Gas Formula.